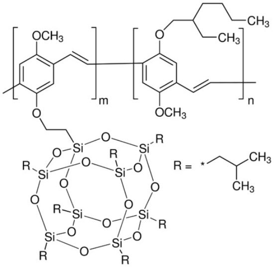
聚[1-甲氧基-4-(3-丙氧基-七异丁基-PSS)-2,5-苯乙炔]-co-[1-甲氧基-4-(2-乙基己氧基)-2,5-苯乙炔] (30:70),Poly[1-methoxy-4-(3-propyloxy-heptaisobutyl-PSS)-2,5-phenylenevinylene]-co-[1-methoxy-4-(2-ethylhexyloxy)-2, 5-phenylenevinylene] (30:70);PSS PPV-co-MEH PPV
最近浏览商品
-
小鼠抗兔IgM [Cy系列标记: Cy3, Cy5, Cy5.5, Cy7],Anti-Rabbit IgM-Cy-x Conjugated antibody, produced in mouse -
乙酸钠 [醋酸钠],Sodium acetate;anhydrous, ReagentPlus®, ≥99.0% -
BQ-3020,≥95% (HPLC) -
异植醇,Isophytol;≥97.0% -
4,5-双(二苯基膦基)-9,9-二甲基氧杂蒽,4,5-Bis(diphenylphosphino)-9,9-dimethylxanthene [Xantphos];97% -
聚(二甲基硅氧烷-co-二苯基硅氧烷), 二乙烯基封端,Poly(dimethylsiloxane-co-diphenylsiloxane), divinyl terminated;average Mn ~9,300
